0 引言
數控機床是裝備制造業的工作母機, 它的生產能力和技術水平已經是衡量一個國家制造技術水平的重要標志.為了提高加工精度和加工效率, 現代數控機床進給系統必須具有較高的進給速度和進給加速度.具有高速反應能力的直線伺服進給系統) ) )/ 零傳動0方式便應運而生.
直線交流伺服電動機具有耦合性、 非線性、 、 負載擾動、 時變不確定性等, 難以建立精確的數學模型,使用常規的PID 控制器難以達到理想的控制效果.例如圖1 所示,通過負載分別為 17kg、 13kg、 8kg時的階躍響應曲線對比, 可以看出, 當負載質量增大,原系統的響應速度變慢,且容易出現超調. 精密數控機床是不允許出現超調的,一旦出現,產品將成為次品.
模糊控制是一種語言控制,不依賴于被控對象的數學模型,適應能力強、 魯棒性好,設計方法簡單,專用芯片已商品化, 比較適合直線電機位置控制系統.不少學者都認識到了這一點,開始了模糊控制應用于直線電機的研究.相對來說,有關模糊控制直線電機的文獻比其它控制應用于直線電機的文獻要多些.但由于直線電機控制的研究在我國起步較晚, 所以模糊控制直線電機的文獻的絕對數量并不多, 應用于數控機床的直線位置伺服系統的就更少. 由于

直線電機驅動的對象不同, 所以選用直線電機的參數、 控制的要求也不相同, 自然模糊控制器的類型、控制規則、 隸屬度函數、 論域、 量化因子[ 1]等也不盡相同.本文以高精數控機床用美國 Parker 公司 SL系列直線電機為研究對象, 用理論分析和仿真結合的研究方法, 將模糊控制技術和傳統的 PID 控制相結合,應用于數控機床的直線位置伺服系統,力圖使系統性能達到穩態跟蹤精確、 動態響應快速、 精確,抗負載擾動或參數擾動的能力強. 從而進一步驗證模糊控制應用于高精數控機床的可行性.
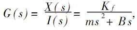
1 直線永磁同步電機
直線伺服系統中的驅動電機以永磁直線電機和直線感應電機為主.隨著鐵硼( NdFeB) 等高磁能積、高矯頑力磁性材料的出現, 永磁直線電機更適合用于直線伺服單元驅動. 根據直線永磁同步電機的結構和工作原理, 并忽略一些次要因素,可以建立直線進給單元的傳遞函數為
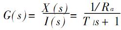
電磁特性傳遞函數為
2 直線進給伺服系統數學模型
數控機床的直線電機伺服控制系統還是采用傳統的三環控制結構[ 2]. 電流調節器采用 P 調節器、速度調節器采用PI 調節器,位置調節器采用P 調節器.經過簡化后,系統的動態結構如圖2 所示. 在速度器的輸出端配置有一個低通濾波器,用來消除由于干擾引起的存在于速度調節器輸出中的高頻雜波信號.

3 自調整位置比例增益kp 的模糊控制器設計
3. 1 模糊控制器設計
通過Simulink 仿真可以發現系統控制器參數中位置調節器比例增益kp 對系統性能影響較大[ 3],所以首先設計自調整位置比例增益 kp 的模糊控制器(圖3) ,來改善系統性能.

模糊自整定位置調節器比例增益控制器是利用模糊理論建立位置比例增益變化 $kp 與控制偏差e和偏差的變化率ec 間的二元關系, 并根據輸入e 和ec 自整定控制器的參數 $ k p (如圖四) , 再用 $kp 來修正k p .實際應用中, 模糊推理過程通過查表來實現.
自適應模糊控制器采用e 和ec 為輸入語言變量, $ kp 為輸出語言變量, e 和ec、 $ kp 的模糊集均為{N B, NM, N S, ZO, P S, PM, PB } , 論域均為{ - 6,- 5, - 4, - 3, - 2, - 1, 0, 1, 2, 3, 4, 5, 6} ,隸屬函數均為三角函數,整定 $ kp 的模糊控制規則如表一.針對不同的控制偏差e 和偏差的變化率ec, 歸納出 $ kp 的整定原則:
當e= 0 時, $ kp 為 0.
當e> 0 時,說明給定大于響應, $kp 應取正值;
當e< 0,說明出現了超調, $kp 應取負值.
當| e| 較小時,為避免出現超調, | $ kp | 取0 或較小值.
當| e| 較大時,為使響應盡快接近給定值, | $ kp |也相應大些. 并且在同樣大小的e 時,若 ec 越大, 則| $kp | 應越小.

本文由 伯特利技術文章 整理發表,文章來自網絡僅參考學習,本站不承擔任何法律責任。
伯特利數控一直以盡心、盡力、盡意的態度把握每一臺 加工中心、鉆攻中心的質量
相關文章可查閱本站:技術文章 或本文下方 標簽 分類
相關產品可查閱本站:產品中心
2018-07
FANUC 0 系統 序號 故障征兆 故障原因 解決辦法 1 當選完刀號后,X、Y軸移動的同時,機床也進行換刀的動作,但是,X、Y軸移動的距離,與X、Y軸的移動指令不相吻合,并且每次的實際移動距離與移動指令之差還不一樣 沒有任何報警,應屬于參數問題。 1.修改參數0009號TMF… [了解更多]
2016-02
數控機床及加工中心可靠性研究概況 1.2.1國內外可靠性研究概況 在第二次世界大戰中,德國為了確保V-II型火箭能夠在長途飛行后成功攻擊到目 標,首先提出了可靠性的一些基本思想和概念。同時,美國在與日本進行太平洋戰爭時, 多達兩萬架的飛機在飛行途中就因為發生故障而損失掉了。其中5… [了解更多]