3 DCO調頻的過程
本文討論的 DCO 變容管陣列采用二進制權的形式 即如圖 3 所示的模型


我們通過一個例子來討論 DCO 的調頻方式 對于一個中心頻率為 2.4GHz的藍牙系統 當我們要求它的分辨率為 1kHz 時 那么至少需要 2.4GHz/1kHz<22222 比特的動態范圍 這在工藝技術上是很難達到的 目前的工藝匹配精度一般只達到了 8~9 比特 而且超過 10 比特的精度 工藝上就需要使用很復雜的數字校正技術 為了解決這一問題 我們采用三種模式逐級遞進的工作方式 如圖 4所示 同時相應的變容管陣列也被分為三個部分[5]

第一步 PVT 校準模式 用來校準由于工藝-電壓-溫度因素造成的很大范圍內的頻率偏差 而且只需 1-2MHz 的精度就可以滿足 PVT 校準的要求 這樣 8 比特的動態范圍完全可以勝任
第二步 ACQ 模式 主要目的是使 DCO 工作在所要求的頻道上 使用 8 比特的調頻精度 500kHz 左右的調頻步長 能覆蓋大于100MHz 的調頻范圍
第三步 捕捉鎖定模式 這一步可以得到最高的頻率分辨率 不過調頻寬度也是最窄的 主要分為整數部分和小數部分兩部分調節 其中小數部分通過使用高速抖動的數字 Sigma-Delta 調制技術能夠得到非常高的頻率分辨率
在這種工作模式下 PVT 變容管陣列和 ACQ 變容管陣列都采用二進制權的結構

而捕捉鎖定模式需要在很小的頻率范圍內達到很高的頻率分辨率 因此不能使用二進權變容管陣列 因為 1 會有很大的二進制選擇噪聲2不同規格的設備之間的匹配性很低 等等 因此這種模式下使用單位元件變容管陣列的結構

值得一提的是 在任何時候 每個模式下的變容管陣列的匹配精度只需滿足當前 FCW 的精度要求即可 這也是為什么只需要 8比特的匹配精度就可以得到非常高的頻率分辨率
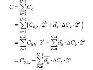
DCO 的這種三種模式遞進的工作方式可以用數學方法來表示 DCO 在啟動或者重置時通過適當的設置 dk 有一個中心頻率或者稱為本征頻率 fc 這種設置一般是讓變容管陣列有一半或近似一半處于高電容狀態 這樣可以使得頻率往兩個方向都可以有較高的調節范圍 中心頻率大小為

其中 Cc 是 LC 振蕩器的總電容值 在 PVT 模式中 DCO 通過設定合適的 dP
控制信號使頻率接近我們所要求的值 此時的總電
容變為 Ctot,p=Cc+Δ CP
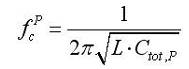
通過這一模式調節后的頻率為

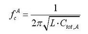
ACQ 模式將以 fcP作為中心頻率進行進一步的調節 通過設置適當的 dA 值可以得到新的電容總值為 Ctot,A=Cc+ CP+ CA 結果頻率為

需要注意的是 CP和 CA 既可以是正值 也可以負值 同理 鎖定模式將以 fcA 作為其中心頻率進行調頻 通過輸入適當的 dT使總電容值變為 Ctot,T=Cc+ CP+
這種模式推進的工作方式包含兩個模式選擇的過程 這兩個過程會將中心頻率快速的轉換到越來越接近我們所要求的頻率的值點上 在 PVT 模式和 ACQ 模式結束的時候 它們最終的電容陣列狀態將被凍結并開始建立一個新的中心頻率 fcP或 fcA 在后來的鎖定模式中作為計算頻率補償的依據
采用三種模式遞進工作方式的 DCO 電路結構簡圖如圖 5 所示

總結
本文論述了應用于現代無線通訊領域的一種新型振蕩器的原理以及結構特點 它采用了數字向頻率轉化的原理 在各方面的使用性能上都相較于傳統壓控振蕩器有很大的改善 將越來越多的應用于無線射頻系統
本文由 伯特利技術文章 整理發表,文章來自網絡僅參考學習,本站不承擔任何法律責任。
伯特利數控一直以盡心、盡力、盡意的態度把握每一臺 加工中心、鉆攻中心的質量
相關文章可查閱本站:技術文章 或本文下方 標簽 分類
相關產品可查閱本站:產品中心
2018-07
FANUC 0 系統 序號 故障征兆 故障原因 解決辦法 1 當選完刀號后,X、Y軸移動的同時,機床也進行換刀的動作,但是,X、Y軸移動的距離,與X、Y軸的移動指令不相吻合,并且每次的實際移動距離與移動指令之差還不一樣 沒有任何報警,應屬于參數問題。 1.修改參數0009號TMF… [了解更多]
2016-01
600 加工中心出于提高工效和降低員 工勞動強度的需要,加裝了一臺 能自動完成上、下料工作的機器 人。當機器人完成上料后,防護 門關閉,工件自動裝夾,加工完 成后,工裝放松,防護門打開, 再由機器人卸料。 1. 硬件要求 此次改造中,我們新增了能 實現自動裝夾的氣動工裝,自動 打… [了解更多]
2015-10
描述 本實用新型涉及一種刀具夾緊機構,特別是一種數控落地機床的刀具夾緊機構。 背景 與普通機床相比,數控機床的工藝范圍更寬,工藝能力更強,其主傳動具有較寬的 調速范圍,以保證在加工時能選用合理的切削用量,從而獲得最佳的加工質量和生產率。現 代數控機床的加工中心主軸部件是機床的… [了解更多]